年产33万吨醋酸乙烯酯项目初步设计(ID:2706797)
# | 文件名称 | 文件大小 |
---|---|---|
1 | 17598369892181.zip | 289.26M |
2 | 作品说明.txt | 1.28K |
3 | 01-可行性研究报告.docx | 3.06M |
4 | 02-初步设计说明书.docx | 8.91M |
5 | 03-典型设备设计及选型说明书.docx | 5.15M |
6 | 04-创新性说明.docx | 4.32M |
7 | 05-安全预评价报告.docx | 3.16M |
8 | 06-经济分析.docx | 1.16M |
9 | 07-Hazop分析报告.docx | 3.44M |
10 | 08-环境评价报告.docx | 1.37M |
11 | 09-《中国制造2025》绿色发展2020指标落实情况.docx | 1.02M |
12 | 10-储罐泄漏模拟报告.docx | 2.83M |
13 | 11-水集成评估报告.docx | 2.56M |
14 | 12-大气污染估算报告.docx | 2.76M |
15 | 13-能量集成及换热网络设计.docx | 1.84M |
16 | 14-厂区地面水质评估报告.docx | 2.99M |
17 | 附录1-物料衡算.docx | 1.03M |
18 | 附录2-能量衡算.docx | 1.16M |
19 | 附录3-MSDS一览表.docx | 1.02M |
20 | 附录4-设备设计及选型一览表.docx | 1.07M |
21 | 附录5-公用工程供应协议及方案.docx | 948.44K |
22 | 附录6-反应器设计说明书.docx | 3.14M |
23 | 附录7-有毒与可燃气体检探测装置说明.docx | 1.01M |
24 | 作品说明.txt | 1.08K |
25 | 总图册.pdf | 9.79M |
26 | 首页图.pdf | 169.14K |
27 | 01-工艺物料流程图PFD-2004.dwg | 2.03M |
28 | 02-工艺物料流程图PFD.pdf | 3.64M |
29 | 01-管道及仪表流程图PID-2004.dwg | 2.01M |
30 | 02-管道及仪表流程图PID.pdf | 2.18M |
31 | 01-二氧化碳处理车间二维设备布置图-2004.dwg | 213.41K |
32 | 02-二氧化碳处理车间二维布置图.pdf | 435.10K |
33 | 01-厂区二维布置图-2004.dwg | 234.38K |
34 | 02-厂区二维布置图.pdf | 208.82K |
35 | 01-流化床反应器R0101设备条件图-2004.dwg | 78.54K |
36 | 02-侧车反应器R0201设备条件图-2004.dwg | 66.48K |
37 | 03-水洗塔T0302设备条件图-2004.dwg | 72.29K |
38 | 04-反应精馏塔T0601-2004.dwg | 69.70K |
39 | 05-循环气冷却器E0303设备条件图-2004.dwg | 108.08K |
40 | 06-设备条件图.pdf | 331.34K |
41 | 01-二氧化碳处理车间三维布置图-2004.dwg | 2.92M |
42 | 02-阀门局部图.png | 11.96K |
43 | 03-车间设备及管道主视图.png | 5.50K |
44 | 04-车间设备及管道西南等轴测图.png | 15.14K |
45 | 05-车间设备及管道东北等轴测图.png | 20.33K |
46 | 06-车间设备及管道东南等轴测图.png | 21.42K |
47 | 07-车间设备及管道西北等轴测图.png | 20.60K |
48 | 08-管道西南等轴测图.png | 5.33K |
49 | 09-管道主视图.png | 2.45K |
50 | 10-设备及管道东北等轴测图.png | 49.41K |
51 | 11-设备及管道东南等轴测图.png | 12.82K |
52 | 12-设备及管道西北等轴测图.png | 12.09K |
53 | 13-设备及管道西南等轴测图.png | 9.19K |
54 | 14-设备及管道主视图.png | 6.90K |
55 | 15-二氧化碳处理车间三维布置图.pdf | 201.77K |
56 | 01-二氧化碳处理车间管道轴测图-2004.dwg | 428.42K |
57 | 02-二氧化碳处理车间管道轴测图-2004.pdf | 808.48K |
58 | 03-车间设备及管道主视图.png | 5.50K |
59 | 04-车间设备及管道西南等轴测图.png | 15.14K |
60 | 05-车间设备及管道东北等轴测图.png | 20.33K |
61 | 06-车间设备及管道东南等轴测图.png | 21.42K |
62 | 07-车间设备及管道西北等轴测图.png | 20.60K |
63 | 08-管道西南等轴测图.png | 5.33K |
64 | 09-管道主视图.png | 2.45K |
65 | 10-设备及管道东北等轴测图.png | 49.41K |
66 | 11-设备及管道东南等轴测图.png | 12.82K |
67 | 12-设备及管道西北等轴测图.png | 12.09K |
68 | 13-设备及管道西南等轴测图.png | 9.19K |
69 | 14-设备及管道主视图.png | 6.90K |
70 | 01-厂区三维布置图-源文件.skp | 229.36M |
71 | 02-厂区三维布置图截图.jpg | 453.32K |
72 | 03-厂区三维布置图截图.jpg | 375.07K |
73 | 04-厂区三维布置图截图.jpg | 354.27K |
74 | 05-厂区三维布置图截图.jpg | 326.72K |
75 | 06-厂区三维图.pdf | 1.48M |
76 | gbcbig.shx | 881.68K |
77 | 字体文件存放位置.txt | 357B |
78 | 作品说明.txt | 1.28K |
79 | 全流程-含节能技术、换热网络.apmbd | 2.15M |
80 | 全流程-含节能技术、换热网络.bkp | 5.04M |
81 | 全流程-无节能技术、换热网络.bkp | 3.10M |
82 | 全流程模拟无错误无警告.png | 232.14K |
83 | T0403设计规定补充文件.bkp | 234.26K |
84 | T0601回流比设计规定范围补充文件.bkp | 301.44K |
85 | T0602设计规定范围补充文件.bkp | 354.67K |
86 | R0201-CATWT.bkp | 905.39K |
87 | R0201-PRES.bkp | 911.71K |
88 | R0201-TEMP.bkp | 910.71K |
89 | R0201.docx | 534.12K |
90 | R0201.fx3 | 25.63K |
91 | 作品说明.txt | 669B |
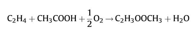
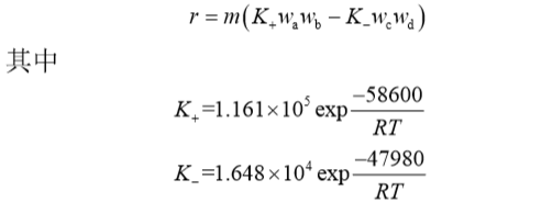
92 | 动力学说明.docx | 178.90K |
93 | 动力学方程.png | 16.54K |
94 | 化学反应方程式.png | 6.79K |
95 | 反应精馏水解乙酸甲酯的工艺_郑辉东.pdf | 1.16M |
96 | 醋酸甲酯水解动力学.pdf | 1.01M |
97 | AkineticstudyofPd–Aucatalyzedsynthesisofvinylacetatefromoxidationof.pdf | 435.47K |
98 | 主反应化学方程式.png | 10.83K |
99 | 动力学数据.png | 35.27K |
100 | T0302-FT.bkp | 749.78K |
101 | T0302-FT.png | 69.49K |
102 | T0302-NT.bkp | 796.00K |
103 | T0302-NT.png | 68.03K |
104 | T0302-水进料量.bkp | 799.10K |
105 | T0302-水进料量.png | 112.45K |
106 | T0302-醋酸进料温度.bkp | 784.77K |
107 | T0302-醋酸进料温度.png | 78.19K |
108 | T0302-醋酸进料量.bkp | 775.69K |
109 | T0302-醋酸进料量.png | 89.59K |
110 | T0504-FT.bkp | 605.17K |
111 | T0504-FT.png | 130.48K |
112 | T0504-MD.bkp | 619.52K |
113 | T0504-MD.png | 110.18K |
114 | T0504-NT.bkp | 624.45K |
115 | T0504-NT.png | 102.02K |
116 | T0504-PRO-MF.bkp | 610.61K |
117 | T0504-PRO-MF.png | 90.28K |
118 | T0504-PRO-ST.bkp | 599.78K |
119 | T0504-PRO-ST.png | 107.88K |
120 | T0504-RR.bkp | 611.10K |
121 | T0504-RR.png | 120.27K |
122 | 水洗塔T0302-设计.bkp | 1.25M |
123 | 水洗塔T0302机械校核.cn2 | 32.58K |
124 | 水洗塔T0302机械校核.docx | 203.58K |
125 | 反应精馏塔T0601-设计.bkp | 609.38K |
126 | 反应精馏塔T0601机械校核.cn2 | 32.58K |
127 | 反应精馏塔T0601机械校核.docx | 164.55K |
128 | 作品说明.txt | 669B |
129 | 动力学说明.docx | 178.90K |
130 | 动力学方程.png | 16.54K |
131 | 化学反应方程式.png | 6.79K |
132 | 反应精馏水解乙酸甲酯的工艺_郑辉东.pdf | 1.16M |
133 | 醋酸甲酯水解动力学.pdf | 1.01M |
134 | AkineticstudyofPd–Aucatalyzedsynthesisofvinylacetatefromoxidationof.pdf | 435.47K |
135 | 主反应化学方程式.png | 10.83K |
136 | 动力学数据.png | 35.27K |
137 | T0502-隔壁精馏塔对比模拟.bkp | 1.26M |
138 | T0502-隔壁精馏塔热泵精馏对比模拟.bkp | 1.05M |
139 | T0501-醋酸塔热泵精馏对比模拟.bkp | 831.79K |
140 | 1.1-换热网络设计(热集成优化前).hch | 939.67K |
141 | 1.2-热集成优化前换热网络(全公用工程).png | 79.71K |
142 | 1.3-流股提取(热集成优化前).xlsx | 11.46K |
143 | 1.4-原始工艺流股信息(全流程-无节能技术、换热网络).bkp | 3.10M |
144 | 2.1-换热网络设计(热集成优化后).hch | 14.93M |
145 | 2.2-换热网络最终版(优化设计后).png | 57.10K |
146 | 2.3-流股提取(热集成优化后).xlsx | 11.73K |
147 | 2.4-改进工艺流股信息(全流程-含节能技术、换热网络).bkp | 5.01M |
148 | 1.1-过程组合曲线(不含节能措施).png | 37.07K |
149 | 1.2-总费用-最小传热温差关系曲线(不含节能措施).png | 43.80K |
150 | 1.3-总组合曲线图(不含节能措施).png | 37.69K |
151 | 1.4-热集成优化前换热网络(全公用工程).png | 79.71K |
152 | 2.1-过程组合曲线(热集成后).png | 40.93K |
153 | 2.2-总费用-最小传热温差关系曲线(热集成后).png | 41.72K |
154 | 2.3-总组合曲线图(热集成后).png | 43.28K |
155 | 2.4.1-换热网络(未优化设计-系统推荐费用最低).png | 95.96K |
156 | 2.4.2-换热网络最终版(优化设计后).png | 57.10K |
157 | E0303.EDR | 267.22K |
158 | E0303.pdf | 621.39K |
159 | E0303循环气冷却器.docx | 704.38K |
160 | E0303循环气冷却器.fx3 | 25.63K |
161 | E0102.EDR | 257.22K |
162 | E0102.pdf | 623.22K |
163 | E0102混合进料预热器一.docx | 704.99K |
164 | E0102混合进料预热器一.fx3 | 25.63K |
165 | 脱重塔T0504.apw | 1.20M |
166 | 脱重塔T0504.bkp | 177.42K |
167 | 脱重塔T0504.dynf | 3.31M |
168 | AM_SAI.appdf | 477.64K |
169 | snapshot.bak | 5.05M |
170 | snpA0000.snp | 6.89M |
171 | snpA0001.snp | 4.66M |
172 | snpA0002.snp | 9.59M |
173 | snpA0003.snp | 5.66M |
174 | snpA0004.snp | 11.23M |
175 | snpA0005.snp | 5.02M |
176 | snpA0006.snp | 4.67M |
177 | snpA0007.snp | 5.44M |
178 | snpA0008.snp | 7.57M |
179 | snpA0009.snp | 5.03M |
180 | snpA0010.snp | 6.54M |
181 | snpA0011.snp | 6.67M |
182 | snpA0012.snp | 6.54M |
183 | snpA0013.snp | 5.03M |
184 | snpA0014.snp | 6.87M |
185 | snpA0015.snp | 5.95M |
186 | snpA0016.snp | 5.76M |
187 | snpA0017.snp | 6.87M |
188 | snpA0018.snp | 5.03M |
189 | snpA0019.snp | 5.76M |
190 | snpA0020.snp | 7.59M |
191 | snpA0021.snp | 5.76M |
192 | snpA0022.snp | 5.03M |
193 | snpA0023.snp | 5.05M |
194 | snpA0024.snp | 4.85M |
195 | snpA0025.snp | 6.69M |
196 | snpA0026.snp | 7.61M |
197 | T0308.dynf.backup | 1.18M |
198 | t0308dyn.his | 4.99K |
199 | t0308dyn.rep | 0B |
200 | tasksnap.bak | 856B |
201 | 侧线采出控制方案.png | 21.38K |
202 | 性能评估.png | 50.67K |
203 | 控制面板.png | 37.48K |
204 | 流量减少20.png | 52.55K |
205 | 流量增加20.png | 55.00K |
206 | 作品说明.txt | 1.08K |
207 | 01-工艺物料流程图PFD-2004.dwg | 2.03M |
208 | 02-工艺物料流程图PFD.pdf | 3.64M |
209 | 01-管道及仪表流程图PID-2004.dwg | 2.01M |
210 | 02-管道及仪表流程图PID.pdf | 2.18M |
211 | 01-二氧化碳处理车间二维设备布置图-2004.dwg | 213.41K |
212 | 02-二氧化碳处理车间二维布置图.pdf | 435.10K |
213 | 01-厂区二维布置图-2004.dwg | 234.38K |
214 | 02-厂区二维布置图.pdf | 208.82K |
215 | 01-流化床反应器R0101设备条件图-2004.dwg | 78.54K |
216 | 02-侧车反应器R0201设备条件图-2004.dwg | 66.48K |
217 | 03-水洗塔T0302设备条件图-2004.dwg | 72.29K |
218 | 04-反应精馏塔T0601-2004.dwg | 69.70K |
219 | 05-循环气冷却器E0303设备条件图-2004.dwg | 108.08K |
220 | 06-设备条件图.pdf | 331.34K |
221 | 01-二氧化碳处理车间三维布置图-2004.dwg | 2.92M |
222 | 02-阀门局部图.png | 11.96K |
223 | 03-车间设备及管道主视图.png | 5.50K |
224 | 04-车间设备及管道西南等轴测图.png | 15.14K |
225 | 05-车间设备及管道东北等轴测图.png | 20.33K |
226 | 06-车间设备及管道东南等轴测图.png | 21.42K |
227 | 07-车间设备及管道西北等轴测图.png | 20.60K |
228 | 08-管道西南等轴测图.png | 5.33K |
229 | 09-管道主视图.png | 2.45K |
230 | 10-设备及管道东北等轴测图.png | 49.41K |
231 | 11-设备及管道东南等轴测图.png | 12.82K |
232 | 12-设备及管道西北等轴测图.png | 12.09K |
233 | 13-设备及管道西南等轴测图.png | 9.19K |
234 | 14-设备及管道主视图.png | 6.90K |
235 | 15-二氧化碳处理车间三维布置图.pdf | 201.77K |
236 | 01-二氧化碳处理车间管道轴测图-2004.dwg | 428.42K |
237 | 02-二氧化碳处理车间管道轴测图-2004.pdf | 808.48K |
238 | 03-车间设备及管道主视图.png | 5.50K |
239 | 04-车间设备及管道西南等轴测图.png | 15.14K |
240 | 05-车间设备及管道东北等轴测图.png | 20.33K |
241 | 06-车间设备及管道东南等轴测图.png | 21.42K |
242 | 07-车间设备及管道西北等轴测图.png | 20.60K |
243 | 08-管道西南等轴测图.png | 5.33K |
244 | 09-管道主视图.png | 2.45K |
245 | 10-设备及管道东北等轴测图.png | 49.41K |
246 | 11-设备及管道东南等轴测图.png | 12.82K |
247 | 12-设备及管道西北等轴测图.png | 12.09K |
248 | 13-设备及管道西南等轴测图.png | 9.19K |
249 | 14-设备及管道主视图.png | 6.90K |
250 | gbcbig.shx | 881.68K |
251 | 字体文件存放位置.txt | 357B |
252 | R0101.docx | 48.81K |
253 | R0101反应段.ra2 | 23.58K |
254 | R0101扩大段.ra2 | 23.58K |
255 | R0201.docx | 534.12K |
256 | R0201.fx3 | 25.63K |
257 | 反应精馏塔T0601.cn2 | 32.58K |
258 | 反应精馏塔T0601.docx | 164.55K |
259 | 水洗塔T0302.cn2 | 32.58K |
260 | 水洗塔T0302.docx | 203.58K |
261 | E0102混合进料预热器一.docx | 704.99K |
262 | E0102混合进料预热器一.fx3 | 25.63K |
263 | E0303循环气冷却器.docx | 704.38K |
264 | E0303循环气冷却器.fx3 | 25.63K |
265 | Hazop分析报告.pdf | 1.46M |
266 | 分析过程截图.png | 63.57K |
267 | 导入图纸.png | 83.46K |
268 | 小组成员.png | 51.31K |
269 | 建议项目汇总.png | 61.65K |
270 | 整改前风险分布图.png | 28.89K |
271 | 整改后风险分布图.png | 22.04K |
272 | 乙醛典型泄露事故模拟.png | 31.22K |
273 | 乙醛典型泄露事故模拟.rsm | 492B |
274 | 乙醛在大气中扩散的预测.png | 22.92K |
275 | 乙醛在大气中扩散的预测.rsm | 490B |
276 | 乙醛池火分析.png | 20.68K |
277 | 乙醛池火分析.rsp | 396.00K |
278 | 乙醛液体BLEVE.rsp | 396.00K |
279 | 乙醛火球BLEVE模拟.png | 31.76K |
280 | 乙醛蒸汽云爆炸.rsm | 161B |
281 | 乙醛蒸汽云爆炸事故模拟.png | 31.55K |
282 | 醋酸乙烯酯在大气中扩散的预测.png | 32.02K |
283 | 醋酸乙烯酯在大气中扩散的预测.rsm | 508B |
284 | 醋酸乙烯酯池火事故.png | 35.82K |
285 | 醋酸乙烯酯池火事故.rsm | 213B |
286 | 醋酸乙烯酯火球BLEVE模拟.png | 31.42K |
287 | 醋酸乙烯酯火球BLEVE模拟.rsm | 220B |
288 | 醋酸乙烯酯蒸汽云爆炸事故模拟.png | 31.92K |
289 | 醋酸乙烯酯蒸汽云爆炸事故模拟.rsm | 174B |
290 | 醋酸典型泄漏事故模拟.rsm | 526B |
291 | 醋酸典型泄露事故模拟.png | 22.86K |
292 | 醋酸典型泄露事故模拟.rsm | 504B |
293 | 醋酸在大气中扩散的预测.png | 22.75K |
294 | 醋酸在大气中扩散预测.rsm | 490B |
295 | 醋酸火球BLEVE事故模拟.png | 11.69K |
296 | 醋酸火球BLEVE模拟.rsm | 206B |
297 | 醋酸蒸汽云爆炸事故模拟.png | 31.15K |
298 | 醋酸蒸汽云爆炸事故模拟.rsm | 160B |
299 | 01-厂区三维布置图-源文件.skp | 229.36M |
300 | 02-厂区三维布置图截图.jpg | 453.32K |
301 | 03-厂区三维布置图截图.jpg | 375.07K |
302 | 04-厂区三维布置图截图.jpg | 354.27K |
303 | 05-厂区三维布置图截图.jpg | 326.72K |
304 | 06-厂区三维图.pdf | 1.48M |
305 | 水循环.wdf | 163B |
306 | 水集成评估报告.pdf | 840.84K |
307 | 初步集成.png | 41.46K |
308 | 参数输入.png | 21.10K |
309 | 夹点分析.png | 32.66K |
310 | 最小用水.png | 5.23K |
311 | 组合曲线.png | 23.44K |
312 | 集成优化.png | 28.90K |
313 | 卫生防护距离.png | 35.28K |
314 | 大气污染估算报告.pdf | 823.39K |
315 | 大气污染估算源文件.scnm | 1.31K |
316 | 废液焚烧系统PM10图形结果.png | 26.26K |
317 | 废液焚烧系统PM2.5图形结果.png | 26.07K |
318 | 废液焚烧系统结果分析.png | 38.59K |
319 | 污染源参数.png | 28.16K |
320 | 污染物参数.png | 23.34K |
321 | 火炬系统PM10图形结果.png | 27.10K |
322 | 火炬系统PM2.5图形结果.png | 26.58K |
323 | 火炬系统结果分析.png | 37.27K |
324 | 环境防护距离.png | 53.82K |
325 | 结果统计.png | 24.64K |
326 | 预测参数.png | 32.74K |
327 | ALOHA模拟源文件.alo | 4.61K |
328 | 乙醛BLEVE事故模拟.png | 60.89K |
329 | 乙醛中毒事故模拟.png | 46.33K |
330 | 乙醛射火事故.png | 27.63K |
331 | 乙醛池火事故模拟.png | 49.67K |
332 | 乙醛蒸汽云爆炸模拟.png | 50.76K |
333 | 储罐泄漏模拟报告.pdf | 1.31M |
334 | 醋酸BLEVE事故模拟.png | 58.44K |
335 | 醋酸中毒事故.png | 52.60K |
336 | 醋酸乙烯酯BLEVE事故模拟.png | 58.09K |
337 | 醋酸乙烯酯中毒事故模拟.png | 47.03K |
338 | 醋酸乙烯酯射火事故模拟.png | 55.56K |
339 | 醋酸乙烯酯池火事故模拟.png | 52.58K |
340 | 醋酸乙烯酯蒸汽云爆炸事故模拟.png | 44.36K |
341 | 醋酸射火事故.png | 62.12K |
342 | 醋酸池火事故.png | 23.86K |
343 | 醋酸蒸汽云爆炸事故模拟.png | 48.41K |
344 | 乙烯中毒.ffta | 8.64K |
345 | 乙烯泄漏中毒事故树分析.png | 20.66K |
346 | 反应器爆炸.ffta | 11.41K |
347 | 反应器爆炸.png | 34.73K |
348 | 罐区爆炸.ffta | 10.90K |
349 | 罐区爆炸事故树分析.png | 38.26K |
350 | 醋酸泄漏.ffta | 10.96K |
351 | 醋酸泄漏事故树分析.png | 28.72K |
352 | Result.txt | 443.41K |
353 | 分析结果.ein | 40.14K |
354 | 分析结果.png | 513.86K |
355 | 厂区背景.BIF | 127B |
356 | P0209安装信息.png | 120.62K |
357 | P0209安装尺寸图.png | 38.43K |
358 | P0209工作曲线图.png | 23.52K |
359 | P0209选型结果.png | 53.41K |
360 | P0307安装信息.png | 126.97K |
361 | P0307安装尺寸图.png | 29.18K |
362 | P0307工作曲线图.png | 44.55K |
363 | P0307选型结果.png | 45.71K |
364 | 厂区地面水质评估报告.pdf | 986.25K |
365 | 河流模型.EIP | 55.15K |
366 | 海湾模型.EIP | 1.86K |
367 | 作品说明.txt | 669B |
368 | 动力学说明.docx | 178.90K |
369 | 动力学方程.png | 16.54K |
370 | 化学反应方程式.png | 6.79K |
371 | 反应精馏水解乙酸甲酯的工艺_郑辉东.pdf | 1.16M |
372 | 醋酸甲酯水解动力学.pdf | 1.01M |
373 | AkineticstudyofPd–Aucatalyzedsynthesisofvinylacetatefromoxidationof.pdf | 435.47K |
374 | 主反应化学方程式.png | 10.83K |
375 | 动力学数据.png | 35.27K |
此图纸下载需要520金币
立即下载
发布者
静
创作: 11751
粉丝: 6
加入时间:2025-05-27

模型信息
图纸格式:pdf,dwg,skp
文件大小:296.2M
所需金币:520
上传时间:2025-10-07 19:42:07
是否可编辑:可修改,包括参数
版本:AutoCAD 2004
标签
图纸简介
版权说明
用户在本站上传的作品如侵犯到您的权益,请与本站管理员联系删除。用户在本站下载的原创作品,只拥有作品的使用权,著作权归原作者所有,未经合法授权,用户不得以任何形式发布、传播、复制、转售该作品。
作者其它图纸 查看更多
猜你喜欢